Prof. En Cheng and his doctoral candidate Xiaoyan Kuai have published a research article Receiver design for spread-spectrum communications with a small spread in underwater clustered multipath channels on The Journal of the Acoustical Society of America(Vol.141, No.3) on March 9, 2017.
Abstract: This paper studies a direct-sequence spread-spectrum communication system with a small spreading factor (e.g., a single digit) in underwater acoustic multipath channels. Exploiting the channel characteristics that the propagation paths can be grouped into distinct clusters, a receiver with a set of parallel branches is proposed, where per-survivor processing (PSP) is applied on each branch to deal with the signal from one cluster while explicitly treating the signals from other clusters as structured interference. As such, it overcomes a major limitation of an existing PSP based receiver [Zhou, Morozov, and Preisig, J. Acoust. Soc. Am. 133, 2746–2754 (2013)], avoiding exponential complexity increase when the spreading factor decreases. On the first branch, joint channel estimation and interference cancellation are performed based solely on the survivor paths. On the other branches, joint channel estimation and interference cancellation are carried out based on the survivor paths and the tentatively decoded data. The bit log-likelihood ratios from different branches are combined for channel decoding. Performance results based on simulations and collected data sets validate the superior performance of the proposed receiver over the conventional RAKE receiver, which is effective only when the spreading factor is large.

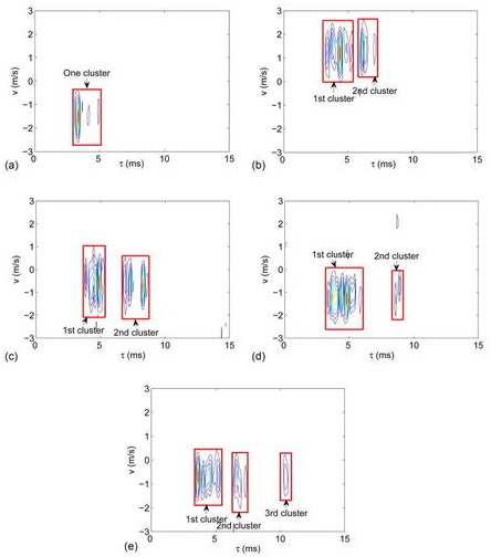
FIG. 1. (Color online) The estimated scattering function of the channels in the experiment where (a) one-cluster channels; (b) two-cluster channels; (c) two-cluster channels; (d) two-cluster channels: |v̂1−v̂2|>0.2m/s|v̂1−v̂2|>0.2 m/s; (e) three-cluster channels.

FIG. 2. (Color online) BER performance of different receivers in three-cluster channels.
Citation:Xiaoyan Kuai, Shengli Zhou, Zhaohui Wang, En Cheng. Receiver design for spread-spectrum communications with a small spread in underwater clustered multipath channels. The Journal of the Acoustical Society of America, 2016,141(3) :1627-1642
Link to full text:http://asa.scitation.org/doi/full/10.1121/1.4977747?aemail=author